You signed in with another tab or window. Reload to refresh your session.You signed out in another tab or window. Reload to refresh your session.You switched accounts on another tab or window. Reload to refresh your session.Dismiss alert
Peter Willendrup edited this page Mar 23, 2015
·
1 revision
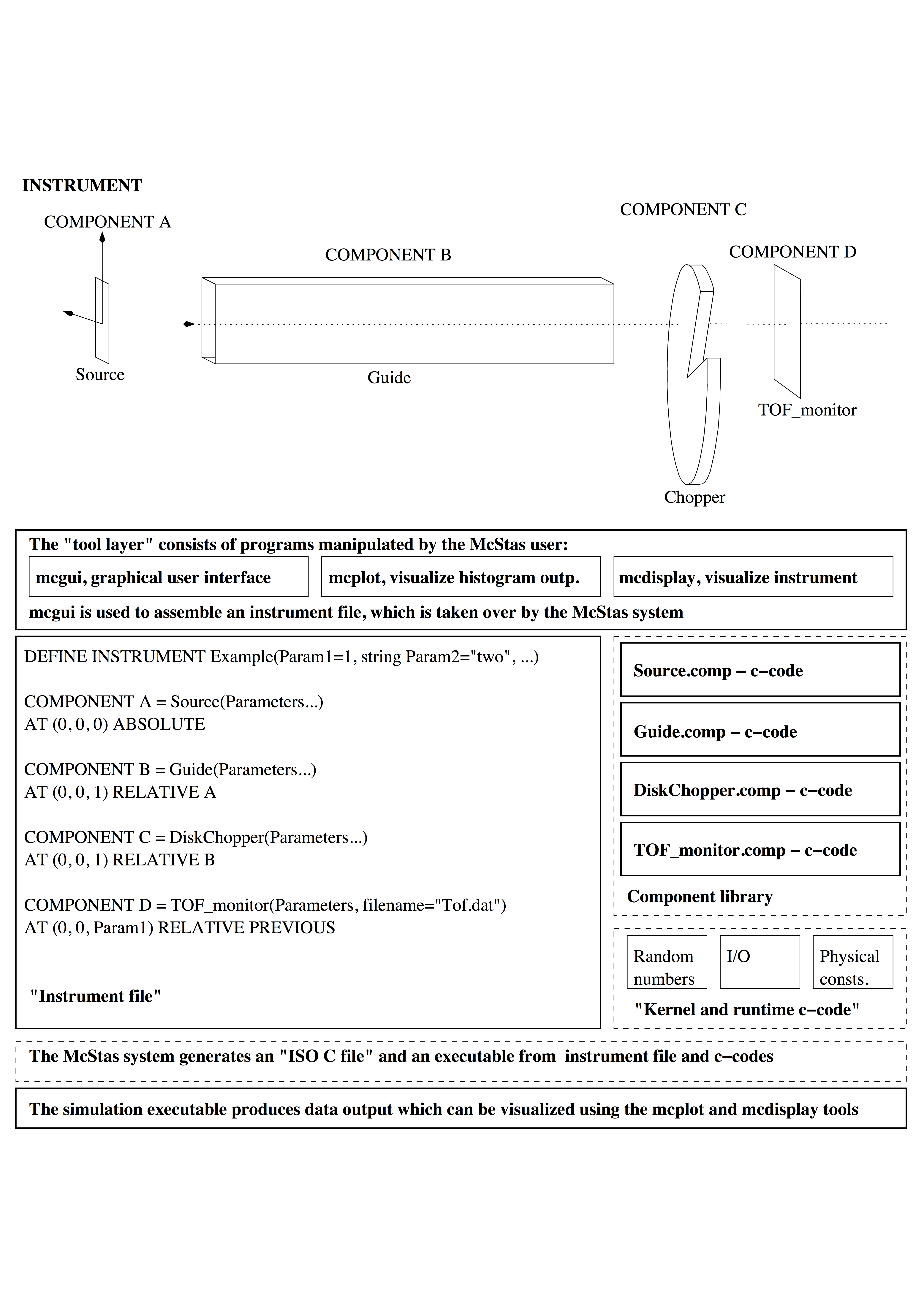
The image below illustrates how the McStas (and McXtrace) codes are layered, including how users, developers and code generation mechanism interact with the various layers of code. The image is also available here: http://doc.mccode.org/Fig1_mcstas_structure.png